开云app 硼中子俘获治疗(BNCT)获国家药监局优先审批, 肿瘤治疗新选择加速到来

2025年12月26日,国家药监局将硼中子俘获治疗系统纳入优先审批范围。这一重大政策为这种创新肿瘤治疗技术在中国的发展按下了“加速键”。

什么是硼中子俘获治疗
硼中子俘获治疗(BNCT)是一种放射治疗技术。通过将含硼药物注射到癌症部位,当药物在肿瘤部位富集后,再用中子束照射病灶。硼与中子发生核反应释放的高能粒子(α射线和7Li核)能精准摧毁癌细胞。这种射线在体内仅能传播极短距离(约单个细胞的直径),因此可精准破坏摄取硼药的细胞。治疗成功的关键在于,要让含硼药物对癌细胞具有“吸引力”,使其能被大量摄取。

采用X射线的精准放射治疗技术,如立体定向放射外科(STS)、立体定向放射治疗(SRT)和调强放射治疗(IMRT),已在临床上广泛应用。与现有技术不同,具有癌症选择性照射能力的BNCT在治疗中,肉眼下肿瘤体积内的正常细胞与癌细胞会接受完全不同的辐射剂量。硼中子俘获反应产生的α射线和7Li粒子,与X射线及γ射线存在本质区别:其粒子从产生到停止的穿透距离极短(约相当于单个细胞的直径),对肿瘤细胞周围的正常组织影响甚微。这种真正意义上的“精准点照射”,可称之为“癌症选择性放射治疗”。
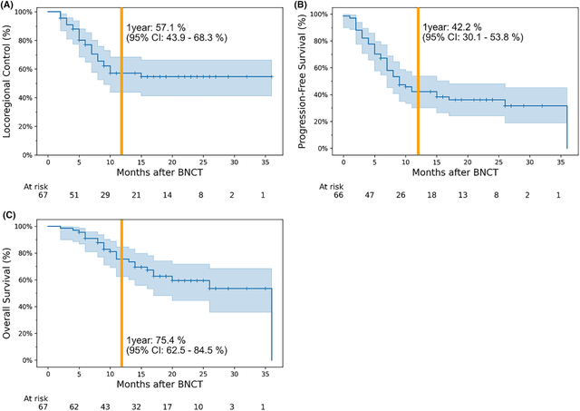
数据揭示BNCT在难治性肿瘤中的潜力
BNCT在多种难治性肿瘤治疗中展现出良好效果。日本一项针对复发性恶性胶质瘤的研究显示,BNCT可有效延长患者生存期。这项在II期JG002试验共27例患者接受治疗,结果显示:中位总生存期(OS)为18.9个月,1年生存率为79.2%,开云app官方1.5年生存率为54.2%,2年生存率为33.3%。

在头颈部肿瘤治疗方面,《Wiley Online Library》曾报告了硼中子治疗在头颈癌患者中临床效果。结果显示:80.5%的患者肿瘤缩小或消失,其中32例患者实现完全缓解(CR),26例患者实现部分缓解(PR)。1年无进展生存率(PFS)为42.2%,一年总生存率(OS)为75.4%。

近年来,中国也在BNCT领域开展积极研究。2025年12月,中国科学院院士、中国科学院高能物理研究所研究员陈和生透露,BNCT已经在东莞人民医院开展6例临床试验,初步结果疗效明显。
{jz:field.toptypename/}目前BNCT主要适用于头颈部肿瘤,随着研究深入,其适应症正逐步扩大至乳腺癌、肺癌、胰腺癌等更多癌种。
结语
对于现有治疗方法无效的肿瘤患者,BNCT带来了新的希望。随着BNCT技术在中国的快速发展,目前,中国已建/在建BNCT项目遍布台湾台北、厦门、广东东莞、海南博鳌等城市。其中鹏博(海南)硼中子医院已于2023年底完成基础建设,预计在2026年1月接收临床患者。对于标准治疗效果不佳的肿瘤患者,BNCT可能提供一个新的选择。

备案号: